Ciao, benvenuta/o su StaticaFacile, questa lezione-esercitazione è dedicata alla Matrice di rotazione e cambio coordinate. L’argomento potrebbe essere utile agli studenti…
Ciao, benvenuta/o su StaticaFacile, questa lezione-esercitazione è dedicata al calcolo degli Autovettori del Tensore d’Inerzia di un sistema di masse puntiformi. L’argomento potrebbe essere…
Ciao, benvenuta/o su StaticaFacile, questa lezione-esercitazione è dedicata al calcolo degli Autovalori del Tensore d’Inerzia di un sistema di masse puntiformi. L’argomento…
Ciao, benvenuta/o su StaticaFacile, in questa lezione-esercitazione propongo il Tensore d’Inerzia di un sistema di masse puntiformi. Considerato l’argomento, la lezione…
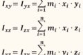
Ciao, benvenuta/o su StaticaFacile, in questa lezione-esercitazione ti propongo i Momenti d’inerzia di un sistema di masse puntiformi. Considerato l’argomento, la…
Ciao, benvenuta/o su StaticaFacile, in questa lezione-esercitazione propongo un Esercizio Tensore d’inerzia di una massa puntiforme. Considerato l’argomento, la lezione potrebbe…
Ciao, benvenuta/o su StaticaFacile, in questa lezione spiego il Tensore d’inerzia di una massa puntiforme. Considerato l’argomento, la lezione potrebbe esser…